题目内容
已知点P为△ABC所在平面上的一点,且A.
B.
C.
D.
【答案】分析:用向量的加法法则将条件中的向量
,
都用以A为起点的向量表示得到
,画出图形,结合点P落在△ABC的内部从而得到选项.
解答:
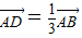
解:在AB上取一点D,使得
,
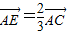
在AC上取一点E,使得:
.则由向量的加法的平行四边形法则得:
,
由图可知,若点P落在△ABC的内部,则
.
故选D.
点评:本题考查向量的线性运算性质及几何意义,向量的基本运算,定比分点中定比的范围等等
解答:
在AC上取一点E,使得:
由图可知,若点P落在△ABC的内部,则
故选D.
点评:本题考查向量的线性运算性质及几何意义,向量的基本运算,定比分点中定比的范围等等
练习册系列答案
相关题目