题目内容
某班50位学生期中考试数学成绩的频率直方分布图如图所示,其中成绩分组区间是:[40,50),[50,60),[60,70),[70,80),[80,90),[90,100].(1)求图中x的值;
(2)从成绩不低于80分的学生中随机选取2人,该2人中成绩在90分以上(含90分)的人数记为ξ,求ξ的数学期望.
【答案】分析:(1)根据所以概率的和为1,即所求矩形的面积和为1,建立等式关系,可求出所求;
(2)不低于8(0分)的学生有12人,9(0分)以上的学生有3人,则随机变量ξ的可能取值有0,1,2,然后根据古典概型的概率公式求出相应的概率,从而可求出数学期望.
解答:解:(1)由30×0.006+10×0.01+10×0.054+10x=1,得x=0.018
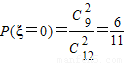
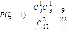
(2)由题意知道:不低于8(0分)的学生有12人,9(0分)以上的学生有3人
随机变量ξ的可能取值有0,1,2



∴
点评:本题主要考查了频率分布直方图,以及古典概型的概率公式和离散型随机变量的数学期望,同时考查了计算能力和运算求解的能力,属于基础题.
(2)不低于8(0分)的学生有12人,9(0分)以上的学生有3人,则随机变量ξ的可能取值有0,1,2,然后根据古典概型的概率公式求出相应的概率,从而可求出数学期望.
解答:解:(1)由30×0.006+10×0.01+10×0.054+10x=1,得x=0.018
(2)由题意知道:不低于8(0分)的学生有12人,9(0分)以上的学生有3人
随机变量ξ的可能取值有0,1,2
∴
点评:本题主要考查了频率分布直方图,以及古典概型的概率公式和离散型随机变量的数学期望,同时考查了计算能力和运算求解的能力,属于基础题.
练习册系列答案
相关题目