题目内容
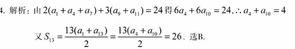
在等差数列中,,则此数列前13项的和= ( )
A.13 B.26 C.52 D.156
在等差数列中,,则此数列前13项的和为 ( )
A. B. C. D.
在等差数列中,,则此数列前13项的和为( )
A.36 B.13 C.26 D.52
在等差数列中,,则此数列前13项的和( )
A.13 B. 26 C.52 D.156
在等差数列中,,则此数列的前项的和等于
、 、 、 、
在等差数列中,,则此数列的前13项的和等于( )
A.13 B.26 C.8 D.16