题目内容
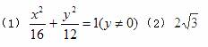
(本题满分12分)已知的两个顶点为,,周长为12.
(1)求顶点的轨迹方程;
(2)若直线与点的轨迹交于、两点,求的面积.
答案
(本题满分12分)已知△的三个内角、、所对的边分别为、、.,且.(1)求的大小;(2)若.求.
(本题满分12分)已知各项均为正数的数列,的等比中项。(1)求证:数列是等差数列;(2)若的前n项和为Tn,求Tn。
(本题满分12分)
已知椭圆:的长轴长是短轴长的倍,,是它的左,右焦点.
(1)若,且,,求、的坐标;
(2)在(1)的条件下,过动点作以为圆心、以1为半径的圆的切线(是切点),且使,求动点的轨迹方程.
(本题满分12分)已知椭圆的长轴,短轴端点分别是A,B,从椭圆上一点M向x轴作垂线,恰好通过椭圆的左焦点,向量与是共线向量
(1)求椭圆的离心率
(2)设Q是椭圆上任意一点,分别是左右焦点,求的取值范围