题目内容
如图,F1,F2是离心率为(Ⅰ) 求椭圆C的方程;
(Ⅱ) 求
【答案】分析:(Ⅰ)椭圆离心率为
,线l:x=-
将线段F1F2分成两段,其长度之比为1:3,可确定几何量,从而可得椭圆C的方程;
(Ⅱ)分类讨论,直线与椭圆方程联立,利用韦达定理及向量知识,即可求得结论.
解答:解:
(Ⅰ)设F2(c,0),则
=
,所以c=1.
因为离心率e=
,所以a=
,所以b=1
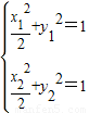
所以椭圆C的方程为
. …(6分)
(Ⅱ)当直线AB垂直于x轴时,直线AB方程为x=-
,此时P(
,0)、Q(
,0),
.
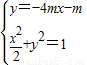
当直线AB不垂直于x轴时,设直线AB的斜率为k,M(-
,m) (m≠0),A(x1,y1),B(x2,y2).
由
得(x1+x2)+2(y1+y2)
=0,
则-1+4mk=0,∴k=
.
此时,直线PQ斜率为k1=-4m,PQ的直线方程为
,即y=-4mx-m.
联立
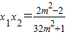
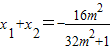
消去y,整理得(32m2+1)x2+16m2x+2m2-2=0.
所以
,
.
于是
=(x1-1)(x2-1)+y1y2=x1x2-(x1+x2)+1+(4mx1+m)(4mx2+m)
=
=
=
.
令t=1+32m2,1<t<29,则
.
又1<t<29,所以
.
综上,
的取值范围为[-1,
).…(15分)
点评:本题主要考查椭圆的几何性质,直线与椭圆的位置关系等基础知识,同时考查解析几何的基本思想方法和综合解题能力.
(Ⅱ)分类讨论,直线与椭圆方程联立,利用韦达定理及向量知识,即可求得结论.
解答:解:
因为离心率e=
所以椭圆C的方程为
(Ⅱ)当直线AB垂直于x轴时,直线AB方程为x=-
当直线AB不垂直于x轴时,设直线AB的斜率为k,M(-
由
则-1+4mk=0,∴k=
此时,直线PQ斜率为k1=-4m,PQ的直线方程为
联立
所以
于是
=
=
令t=1+32m2,1<t<29,则
又1<t<29,所以
综上,
点评:本题主要考查椭圆的几何性质,直线与椭圆的位置关系等基础知识,同时考查解析几何的基本思想方法和综合解题能力.
练习册系列答案
相关题目