题目内容

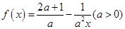
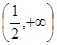
若函数的定义域和值域都是),则常数的取值范围是     

 

【答案】

【解析】

试题分析:分析可知函数在定义域上单调递增,于是根据题意,从而可知是方程的二不等实根,即,于是,注意到,解得.

考点:函数与方程、一元二次方程、解不等式

 

练习册系列答案
相关题目

违法和不良信息举报电话:027-86699610 举报邮箱:58377363@163.com

精英家教网