题目内容
已知数列{an}为等差数列,{bn}为等比数列,且满足:a1000+a1012=π,b1b14=-2,则A.1
B.-1
C.
D.
【答案】分析:根据数列{an}为等差数列,{bn}为等比数列,根据两个数列的性质,得到题目中要用的两项的积和两项的和的结果,把角的值代入题目的结论,根据特殊角的三角函数得到结果.
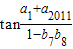
解答:解:∵数列为等差数列,a1000+a1012=π,
∴a1+a2011=π
∵{bn}为等比数列,b1b14=-2,
∴b7b8=-2,
∴
=tan
=
,
故选D.
点评:本题考查等差数列的性质,考查等比数列的性质,考查特殊角的三角函数,本题是一个数列与三角函数结合的题目,是一个比较简单的题目.
解答:解:∵数列为等差数列,a1000+a1012=π,
∴a1+a2011=π
∵{bn}为等比数列,b1b14=-2,
∴b7b8=-2,
∴
故选D.
点评:本题考查等差数列的性质,考查等比数列的性质,考查特殊角的三角函数,本题是一个数列与三角函数结合的题目,是一个比较简单的题目.
练习册系列答案
相关题目
定义:在数列{an}中,an>0且an≠1,若
为定值,则称数列{an}为“等幂数列”.已知数列{an}为“等幂数列”,且a1=2,a2=4,Sn为数列{an}的前n项和,则S2009=( )
| a | an+1 n |
| A、6026 | B、6024 |
| C、2 | D、4 |