题目内容
已知复数z=(m2-1)+(m2-3m+2)i,求分别满足下列条件的实数m的值.(1)z为纯虚数;
(2)z在复平面上的对应点在以(0,-3m)为圆心,
【答案】分析:(1)由题意可得
,解之即可;
(2)可得(m2-1-0)2+(m2-3m+2+3m)2=17,解此方程可得.
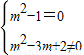
解答:解:(1)由复数的基本概念可得
,
解之可得m=-1…(6分)
(2)由复数的几何意义可得(m2-1-0)2+(m2-3m+2+3m)2=17,
化简可得m4+m2-6=0,解之可得m2=2,即
…(14分)
点评:本题考查复数的代数形式与几何意义,涉及圆的方程,属基础题.
(2)可得(m2-1-0)2+(m2-3m+2+3m)2=17,解此方程可得.
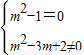
解答:解:(1)由复数的基本概念可得
解之可得m=-1…(6分)
(2)由复数的几何意义可得(m2-1-0)2+(m2-3m+2+3m)2=17,
化简可得m4+m2-6=0,解之可得m2=2,即
点评:本题考查复数的代数形式与几何意义,涉及圆的方程,属基础题.
练习册系列答案
相关题目