题目内容
已知函数f(x)=(1)f(0)+f(1),f(-1)+f(2),f(-2)+f(3)的值;
(2)归纳猜想一般性的结论,并证明之.
【答案】分析:由f(x)计算各和式,得出结论然后归纳猜想,再证明一般性结论.
解答:解:
,
同理可得:
,
.
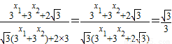
证明:设x1+x2=1,
=
点评:本题主要考查归纳推理,一般思路是从具体到一般,得到一般性结论,然后再证明.属中档题.
解答:解:
同理可得:
证明:设x1+x2=1,
=
点评:本题主要考查归纳推理,一般思路是从具体到一般,得到一般性结论,然后再证明.属中档题.
练习册系列答案
相关题目
已知函数f(x)=x2-bx的图象在点A(1,f(1))处的切线l与直线3x-y+2=0平行,若数列{
}的前n项和为Sn,则S2010的值为( )
| 1 |
| f(n) |
A、
| ||
B、
| ||
C、
| ||
D、
|