题目内容
已知函数f(x)=2x-2-x,数列{an}满足f(log2an)=-2n,
(1)求数列{an}的通项公式;
(2)证明数列{an}是递减数列。
(1)求数列{an}的通项公式;
(2)证明数列{an}是递减数列。
(1)解:∵f(x)=
,f(log2an)=-2n,
∴
,
∴
,解得
,
∵an>0,
∴
,n∈N*;
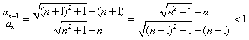
(2)证明:
,
∵an>0,
∴an+1<an,
∴数列{an}是递减数列。
∴
∴
∵an>0,
∴
(2)证明:
∵an>0,
∴an+1<an,
∴数列{an}是递减数列。
练习册系列答案
相关题目