题目内容
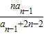
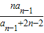
已知数列{an}满足a1=1,an=(1)求a2,a3,
(2)求数列{an}的通项公式;
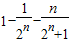
(3)设{an}的前n项和Sn,证明:Sn>2-
【答案】分析:(1)a1=1,再an=
(n≥2)中令n=2求a2,令n=3求a3.
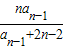
(2)由an=
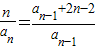
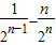
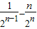
(n≥2),两边取倒数,得出
=
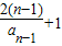
,令cn=
,构造得出数列{cn+1}是以2为首项,2为公比的等比数列,
通过数列{cn+1}的通项公式求an.
(3)由(2)an=
,直接求Sn不易求.将每项进行缩小,an=
>
,利用错位相消法将右边相加、化简后,即可证明.
解答:解:(1)
,
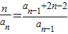
(2)an=
(n≥2).
∴
=
,
令cn=
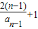
,则cn=2cn-1+1,cn+1=2(cn-1+1),
又c1+1=
=2,所以数列{cn+1}是以2为首项,2为公比的等比数列,
所以cn+1=2n,cn=2n-1,
∴an=
(3)an=
>
,所以Sn>a1+a2+…+an=
令Tn=
①
则
=
②
①-②得
=
=
Tn=2-
.
所以Sn>2-
.
点评:本题是中档题,考查数列的递推关系式的应用,数列通项公式求解,数列求和,放缩法不等式的证明,考查计算能力,转化思想.
(2)由an=
通过数列{cn+1}的通项公式求an.
(3)由(2)an=
解答:解:(1)
(2)an=
∴
令cn=
又c1+1=
所以cn+1=2n,cn=2n-1,
∴an=
(3)an=
令Tn=
则
①-②得
Tn=2-
所以Sn>2-
点评:本题是中档题,考查数列的递推关系式的应用,数列通项公式求解,数列求和,放缩法不等式的证明,考查计算能力,转化思想.
练习册系列答案
相关题目