题目内容
已知二次函数f(x)=ax2+bx+4,集合A={x|f(x)=x}.(1)若A={1},求f(x);
(2)若1∈A,且1≤a≤2,设f(x)在区间
【答案】分析:(1)可得ax2+(b-1)x+4=0有两等根为1,故
,解之代入可得;
(2)由题意可得b=-3-a代入解析式配方可得∴f(x)=
,结合范围可得M,m,可得g(a),由函数的单调性可得答案.
解答:解:(1)∵A={1},∴ax2+(b-1)x+4=0有两等根为1.…(2分)
∴
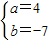
,解得
,
∴f(x)=4x2-7x+4.…(4分)
(2)∵1∈A,∴a+(b-1)+4=0,∴b=-3-a.…(5分)
∴f(x)=ax2-(a+3)x+4=
.
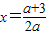
∵1≤a≤2,∴对称轴为
.
∵
,∴M=
,m=
.…(8分)
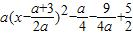
∴
,由g(a)在[1,2]单调递减
可得当a=2时,函数取最小值
.…(10分)
点评:本题考查二次函数在闭区间的最值,涉及二次方程与二次函数的关系,以及分式函数的单调性,属中档题.
(2)由题意可得b=-3-a代入解析式配方可得∴f(x)=
解答:解:(1)∵A={1},∴ax2+(b-1)x+4=0有两等根为1.…(2分)
∴
∴f(x)=4x2-7x+4.…(4分)
(2)∵1∈A,∴a+(b-1)+4=0,∴b=-3-a.…(5分)
∴f(x)=ax2-(a+3)x+4=
∵1≤a≤2,∴对称轴为
∵
∴
可得当a=2时,函数取最小值
点评:本题考查二次函数在闭区间的最值,涉及二次方程与二次函数的关系,以及分式函数的单调性,属中档题.
练习册系列答案
相关题目