题目内容
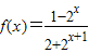
已知定义域为R的函数f(x)=(Ⅰ)求b的值;
(Ⅱ)判断函数f(x)的单调性;
(Ⅲ)若对任意的t∈R,不等式f(t2-2t)+f(2t2-k)<0恒成立,求k的取值范围.
【答案】分析:(Ⅰ)利用奇函数定义f(x)=-f(x)中的特殊值f(0)=0求b的值;
(Ⅱ)设x1<x2然后确定f(x1)-f(x2)的符号,根据单调函数的定义得到函数f(x)的单调性;
(III)结合单调性和奇函数的性质把不等式f(t2-2t)+f(2t2-k)<0转化为关于t的一元二次不等式,最后由一元二次不等式知识求出k的取值范围.
解答:解:(Ⅰ)因为f(x)是奇函数,所以f(0)=0,
即
⇒b=1,
∴
.
(Ⅱ)由(Ⅰ)知
,
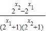
设x1<x2则f(x1)-f(x2)=
-
=
因为函数y=2x在R上是增函数且x1<x2∴f(x1)-f(x2)=
>0
即f(x1)>f(x2)
∴f(x)在(-∞,+∞)上为减函数
(III)f(x)在(-∞,+∞)上为减函数,又因为f(x)是奇函数,
所以f(t2-2t)+f(2t2-k)<0
等价于f(t2-2t)<-f(2t2-k)=f(k-2t2),
因为f(x)为减函数,由上式可得:t2-2t>k-2t2.
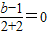
即对一切t∈R有:3t2-2t-k>0,
从而判别式
.
所以k的取值范围是k<-
.
点评:本题主要考查函数奇偶性与单调性的综合应用;同时考查一元二次不等式恒成立问题的解决策略,是一道综合题.
(Ⅱ)设x1<x2然后确定f(x1)-f(x2)的符号,根据单调函数的定义得到函数f(x)的单调性;
(III)结合单调性和奇函数的性质把不等式f(t2-2t)+f(2t2-k)<0转化为关于t的一元二次不等式,最后由一元二次不等式知识求出k的取值范围.
解答:解:(Ⅰ)因为f(x)是奇函数,所以f(0)=0,
即
∴
(Ⅱ)由(Ⅰ)知
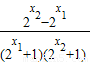
设x1<x2则f(x1)-f(x2)=
因为函数y=2x在R上是增函数且x1<x2∴f(x1)-f(x2)=
即f(x1)>f(x2)
∴f(x)在(-∞,+∞)上为减函数
(III)f(x)在(-∞,+∞)上为减函数,又因为f(x)是奇函数,
所以f(t2-2t)+f(2t2-k)<0
等价于f(t2-2t)<-f(2t2-k)=f(k-2t2),
因为f(x)为减函数,由上式可得:t2-2t>k-2t2.
即对一切t∈R有:3t2-2t-k>0,
从而判别式
所以k的取值范围是k<-
点评:本题主要考查函数奇偶性与单调性的综合应用;同时考查一元二次不等式恒成立问题的解决策略,是一道综合题.
练习册系列答案
相关题目