题目内容
判断函数y=-x3+1在R上的单调性并给予证明.
【答案】分析:根据当x1<x2时,化简f(x1)-f(x2) 为
>0,可得f(x1)>f(x2),从而得到函数y=-x3+1在R上是减函数.
解答:解:函数y=-x3+1在R上是减函数.
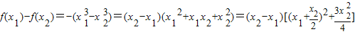
证明:当x1<x2时,
,
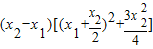
∵x1<x2,∴x2-x1>0,
又∵
.
∴f(x)在R为减函数.
点评:本题主要考查函数的单调性的判断和证明,属于基础题.
解答:解:函数y=-x3+1在R上是减函数.
证明:当x1<x2时,
∵x1<x2,∴x2-x1>0,
又∵
∴f(x)在R为减函数.
点评:本题主要考查函数的单调性的判断和证明,属于基础题.
练习册系列答案
相关题目