题目内容
已知函数f(x)=2ax+
+lnx,
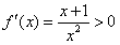
(1)若函数f(x)在x=1,
处取得极值,求a,b的值;
(2)若f′(1)=2,函数f(x)在(0,+∞)上是单调函数,求a的取值范围。
(1)若函数f(x)在x=1,
(2)若f′(1)=2,函数f(x)在(0,+∞)上是单调函数,求a的取值范围。
解:(1)
,
由
,可得
;
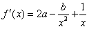
(2)函数f(x)的定义域是
,
因为
,
所以
,
所以
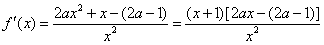
,
要使
在
上是单调函数,
只要
或
在
上恒成立;
当
时,
恒成立,
所以
在
上是单调函数;
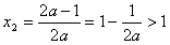
当
时,令
,得
,
,
此时
在
上不是单调函数;
当
时,要使
在
上是单调函数,
只要
,即
;
综上所述,a的取值范围是
。
练习册系列答案
相关题目