题目内容
已知函数
,试证明f(x)在(-2,+∞)上是单调增函数,并求该函数在区间[1,4]上的最大值、最小值。
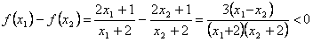
解:设
,则
,
,
所以f(x) 在(-2,+∞)上单调递增;
由上可知f(x)在[1,4]上单调递增,
所以f(x)的最小值为f(1)=1,f(x)的最大值为f(4)=
。
所以f(x) 在(-2,+∞)上单调递增;
由上可知f(x)在[1,4]上单调递增,
所以f(x)的最小值为f(1)=1,f(x)的最大值为f(4)=
练习册系列答案
相关题目