题目内容

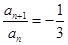
已知数列满足(  )

A.   B.   C.   D.

 

【答案】

C

【解析】

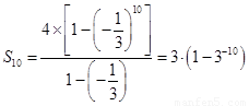
试题分析:由已知得,,所以数列是以首项为4,公比为的等比数列,由等比数列前项和公式得.故正确答案为C.

考点:1.等比数列定义;2.等比数列前项和.

 

练习册系列答案
相关题目

违法和不良信息举报电话:027-86699610 举报邮箱:58377363@163.com

精英家教网