题目内容
已知等差数列{an}的首项为a,公差为b,等比数列{bn}的首项为b,公比为a,n=1,2,…,其中a,b均为正整数,且b2=6,a3=8,a<b.
(1)求a,b的值;
(2)数列对于{an},{bn},存在关系式am+1=bn,试求a1+a2+…+am.
(1)求a,b的值;
(2)数列对于{an},{bn},存在关系式am+1=bn,试求a1+a2+…+am.
解:(1)由题设an=a+(n﹣1)b,bn=ban﹣1,
∵b2=6,a3=8,
∴ab=6,a+2b=8,
∴
或
,
∵a<b,
∴
(2)由(1)数列{an}的通项公式为an=2+(n﹣1)×3=3n﹣1,
数列{bn}的通项公式为bn=3·2n﹣1.
由am+1=bn,得出3m=3·2n﹣1,m=2n﹣1.
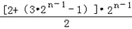
∴a1+a2+…+am=(3×1﹣1+3×2﹣1+3×3﹣1)+…+(3×2n﹣1﹣1)=
=3·22n﹣3+2n﹣2.
∵b2=6,a3=8,
∴ab=6,a+2b=8,
∴
∵a<b,
∴
(2)由(1)数列{an}的通项公式为an=2+(n﹣1)×3=3n﹣1,
数列{bn}的通项公式为bn=3·2n﹣1.
由am+1=bn,得出3m=3·2n﹣1,m=2n﹣1.
∴a1+a2+…+am=(3×1﹣1+3×2﹣1+3×3﹣1)+…+(3×2n﹣1﹣1)=
=3·22n﹣3+2n﹣2.
练习册系列答案
相关题目