题目内容
给出命题:①若函数y=f(2x-1)为偶函数,则y=f(2x)的图象关于x=
②把函数
③函数
④函数y=sin|x|是周期函数,且周期为2π;
⑤△ABC中,若sinA,sinB,sinC成等差数列,则
其中正确命题所有的序号是 .
【答案】分析:①函数y=f(2x-1)为偶函数,可知f(x)关于y轴对称,根据平移的性质进行判断;
②根据三角函数平移的性质进行判断;
③把点
代入函数
进行判断;
④已知y=sin|x|是周期函数,且又是偶函数,从而进行判断;
⑤△ABC中,若sinA,sinB,sinC成等差数列,可得2sinB=sinC+sinA,根据正弦定理进行求解;
解答:解:①函数y=f(2x-1)为偶函数,关于y轴对称,将其向左平移
个单位可得y=f(2x),其对称轴为x=-
,故①错误;
②函数
的图象向右平移
得y=3sin(2x-
+
)=3sin2x,故②正确;
③函数
,当x=
时,y=2cos
=0,故③正确;
④函数y=sin|x|,它是偶函数,不是周期函数,故④错误;
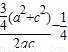
⑤∵⑤△ABC中,若sinA,sinB,sinC成等差数列,可得2sinB=sinC+sinA,可得2b=a+c,
∴cosB=
=
=
≥
=
,
∴cosB≥
,B∈(0,π),
∴B∈(0,
],故⑤正确;
故答案为②③⑤;
点评:本题考查三角函数的周期性及其求法,正弦函数的对称性,正切函数的单调性,考查基本概念的掌握程度,是基础题.
②根据三角函数平移的性质进行判断;
③把点
④已知y=sin|x|是周期函数,且又是偶函数,从而进行判断;
⑤△ABC中,若sinA,sinB,sinC成等差数列,可得2sinB=sinC+sinA,根据正弦定理进行求解;
解答:解:①函数y=f(2x-1)为偶函数,关于y轴对称,将其向左平移
②函数
③函数
④函数y=sin|x|,它是偶函数,不是周期函数,故④错误;
⑤∵⑤△ABC中,若sinA,sinB,sinC成等差数列,可得2sinB=sinC+sinA,可得2b=a+c,
∴cosB=
∴cosB≥
∴B∈(0,
故答案为②③⑤;
点评:本题考查三角函数的周期性及其求法,正弦函数的对称性,正切函数的单调性,考查基本概念的掌握程度,是基础题.
练习册系列答案
相关题目