题目内容
如图所示,将数以斜线作如下分群:(1),(2,3),(4,6,5),(8,12,10,7),(16,24,20,14,9),….并顺次称其为第1群,第2群,第3群,第4群,….则第7群中的第2项是: ;| 1 | 3 | 5 | 7 | 9 | … |
| 2 | 6 | 10 | 14 | 18 | … |
| 4 | 12 | 20 | 28 | 36 | … |
| 8 | 24 | 40 | 56 | 72 | … |
| 16 | 48 | 80 | 112 | 114 | … |
| … | … | … | … | … | … |
【答案】分析:观察数列群,得到第一个数列,第2个数列,…都是以2为公比的等比数列,不难求出第7群中的第2项;第n群中n个数表示出后,求出和即可.
解答:解:由题意数列可以转化为:
1
2 3
4 6 5
8 12 10 7
16 24 20 14 9
32 48 40 28 19 11
…
类似杨辉三角,可知每一列都是等比数列,每一行最后一个数是等差数列,公差为2,
所以第7群中的第2项是:3×25=96.
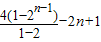
第n个群中n个数为:Sn=1×2 n-1+3×2n-2+5×2 n-3+…+(2n-1)•2 0…①
2Sn=1×2 n+3×2n-1+5×2 n-2+…+(2n-1)•2 1…②,
②-①得,Sn=2 n+2×2n-1+2×2 n-2+…+2•2 1-2n+1
=2 n+2n+2 n-1+…+2 2-2n+1
=2 n+
=3•2n-2n-3.
故答案为:96;3•2n-2n-3.
点评:本题是中档题,考查新定义,学生分析问题解决问题的能力,转化思想的应用,找出数列的特征是解题的关键.
解答:解:由题意数列可以转化为:
1
2 3
4 6 5
8 12 10 7
16 24 20 14 9
32 48 40 28 19 11
…
类似杨辉三角,可知每一列都是等比数列,每一行最后一个数是等差数列,公差为2,
所以第7群中的第2项是:3×25=96.
第n个群中n个数为:Sn=1×2 n-1+3×2n-2+5×2 n-3+…+(2n-1)•2 0…①
2Sn=1×2 n+3×2n-1+5×2 n-2+…+(2n-1)•2 1…②,
②-①得,Sn=2 n+2×2n-1+2×2 n-2+…+2•2 1-2n+1
=2 n+2n+2 n-1+…+2 2-2n+1
=2 n+
=3•2n-2n-3.
故答案为:96;3•2n-2n-3.
点评:本题是中档题,考查新定义,学生分析问题解决问题的能力,转化思想的应用,找出数列的特征是解题的关键.
练习册系列答案
相关题目
如图所示,将数以斜线作如下分群:(1),(2,3),(4,6,5),(8,12,10,7),(16,24,20,14,9),….并顺次称其为第1群,第2群,第3群,第4群,….则第7群中的第2项是: ;
第n群中n个数的和是: .
| 1 | 3 | 5 | 7 | 9 | … |
| 2 | 6 | 10 | 14 | 18 | … |
| 4 | 12 | 20 | 28 | 36 | … |
| 8 | 24 | 40 | 56 | 72 | … |
| 16 | 48 | 80 | 112 | 114 | … |
| … | … | … | … | … | … |
如图所示,将数以斜线作如下分群:(1),(2,3),(4,6,5),(8,12,10,7),(16,24,20,14,9),….并顺次称其为第1群,第2群,第3群,第4群,….则第7群中的第2项是: ;
第n群中n个数的和是: .
| 1 | 3 | 5 | 7 | 9 | … |
| 2 | 6 | 10 | 14 | 18 | … |
| 4 | 12 | 20 | 28 | 36 | … |
| 8 | 24 | 40 | 56 | 72 | … |
| 16 | 48 | 80 | 112 | 114 | … |
| … | … | … | … | … | … |
如图所示,将数以斜线作如下分群:(1),(2,3),(4,6,5),(8,12,10,7),(16,24,20,14,9),….并顺次称其为第1群,第2群,第3群,第4群,….则第7群中的第2项是: ;
第n群中n个数的和是: .
| 1 | 3 | 5 | 7 | 9 | … |
| 2 | 6 | 10 | 14 | 18 | … |
| 4 | 12 | 20 | 28 | 36 | … |
| 8 | 24 | 40 | 56 | 72 | … |
| 16 | 48 | 80 | 112 | 114 | … |
| … | … | … | … | … | … |
如图所示,将数以斜线作如下分群:(1),(2,3),(4,6,5),(8,12,10,7),(16,24,20,14,9),….并顺次称其为第1群,第2群,第3群,第4群,….则第7群中的第2项是: ;
第n群中n个数的和是: .
| 1 | 3 | 5 | 7 | 9 | … |
| 2 | 6 | 10 | 14 | 18 | … |
| 4 | 12 | 20 | 28 | 36 | … |
| 8 | 24 | 40 | 56 | 72 | … |
| 16 | 48 | 80 | 112 | 114 | … |
| … | … | … | … | … | … |