题目内容

设圆C1:x2+y2-10x-6y+32=0,动圆C2:x2+y2-2ax-2(8-a)y+4a+12=0,
(Ⅰ)求证:圆C1、圆C2相交于两个定点;
(Ⅱ)设点P是椭圆上的点,过点P作圆C1的一条切线,切点为T1,过点P作圆C2的一条切线,切点为T2,问:是否存在点P,使无穷多个圆C2,满足PT1=PT2?如果存在,求出所有这样的点P;如果不存在,说明理由.
【答案】分析:(Ⅰ)化简动圆C2确定它过的定点,在圆C1上即可.
(Ⅱ)设存在,再设P的坐标,求出PT1,PT2令其相等,求得关系式,P适合椭圆方程,可求得P的坐标.
解答:解:(Ⅰ)将方程x2+y2-2ax-2(8-a)y+4a+12=0化为x2+y2-16y+12+(-2x+2y+4)a=0,

所以圆C2过定点(4,2)和(6,4),(4分)
代入x2+y2-10x-6y+32=0,
左边=16+4-40-12+32=0=右边,
故点(4,2)在圆C1上,同理可得点(6,4)也在圆C1上,
所以圆C1、圆C2相交于两个定点(4,2)和(6,4);(6分)
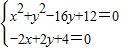
(2)设P(x,y),则,(8分),(10分)
PT1=PT2即-10x-6y+32=-2ax-2(8-a)y+4a+12,
整理得(x-y-2)(a-5)=0(*)(12分)
存在无穷多个圆C2,满足PT1=PT2的充要条件为有解,
解此方程组得,(14分)
故存在点P,使无穷多个圆C2,满足PT1=PT2,点P的坐标为.(16分)
点评:本题考查圆与圆的位置关系,考查存在性问题,分析问题和解决问题的能力,是难题.
练习册系列答案
相关题目

违法和不良信息举报电话:027-86699610 举报邮箱:58377363@163.com

精英家教网