题目内容
已知函数f(x)=ax3+bx2﹣3x在x=±1处取得极值
(1)求函数f(x)的解析式;
(2)求证:对于区间[﹣1,1]上任意两个自变量的值x1,x2,都有|f(x1)﹣f(x2)|≤4;(3)若过点A(1,m)(m≠﹣2)可作曲线y=f(x)的三条切线,求实数m的范围.
(1)求函数f(x)的解析式;
(2)求证:对于区间[﹣1,1]上任意两个自变量的值x1,x2,都有|f(x1)﹣f(x2)|≤4;(3)若过点A(1,m)(m≠﹣2)可作曲线y=f(x)的三条切线,求实数m的范围.
解:(1)f′(x)=3ax2+2bx﹣3,依题意,f′(1)=f′(﹣1)=0,解得a=1,b=0.
∴f(x)=x3﹣3x
(2)∵f(x)=x3﹣3x,
∴f′(x)=3x2﹣3=3(x+1)(x﹣1),
当﹣1<x<1时,f′(x)<0,
故f(x)在区间[﹣1,1]上为减函数,fmax(x)=f(﹣1)=2,fmin(x)=f(1)=﹣2
∵对于区间[﹣1,1]上任意两个自变量的值x1,x2,
都有|f(x1)﹣f(x2)|≤|fmax(x)﹣fmin(x)|
|f(x1)﹣f(x2)|≤|fmax(x)﹣fmin(x)|=2﹣(﹣2)=4
(3)f′(x)=3x2﹣3=3(x+1)(x﹣1),
∵曲线方程为y=x3﹣3x,
∴点A(1,m)不在曲线上.设切点为M(x0,y0),
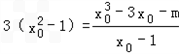
切线的斜率为
(左边用导数求出,右边用斜率的两点式求出),整理得2x03﹣3x02+m+3=0.
∵过点A(1,m)可作曲线的三条切线,故此方程有三个不同解,
下研究方程解有三个时参数所满足的条件设g(x0)=2x03﹣3x02+m+3,
则g′(x0)=6x02﹣6x0,由g′(x0)=0,得x0=0或x0=1.
∴g(x0)在(﹣∞,0),(1,+∞)上单调递增,在(0,1)上单调递减.
∴函数g(x0)=2x03﹣3x02+m+3的极值点为x0=0,x0=1
∴关于x0方程2x03﹣3x02+m+3=0有三个实根的充要条件是
,解得﹣3<m<﹣2.故所求的实数a的取值范围是﹣3<m<﹣2.
∴f(x)=x3﹣3x
(2)∵f(x)=x3﹣3x,
∴f′(x)=3x2﹣3=3(x+1)(x﹣1),
当﹣1<x<1时,f′(x)<0,
故f(x)在区间[﹣1,1]上为减函数,fmax(x)=f(﹣1)=2,fmin(x)=f(1)=﹣2
∵对于区间[﹣1,1]上任意两个自变量的值x1,x2,
都有|f(x1)﹣f(x2)|≤|fmax(x)﹣fmin(x)|
|f(x1)﹣f(x2)|≤|fmax(x)﹣fmin(x)|=2﹣(﹣2)=4
(3)f′(x)=3x2﹣3=3(x+1)(x﹣1),
∵曲线方程为y=x3﹣3x,
∴点A(1,m)不在曲线上.设切点为M(x0,y0),
切线的斜率为
∵过点A(1,m)可作曲线的三条切线,故此方程有三个不同解,
下研究方程解有三个时参数所满足的条件设g(x0)=2x03﹣3x02+m+3,
则g′(x0)=6x02﹣6x0,由g′(x0)=0,得x0=0或x0=1.
∴g(x0)在(﹣∞,0),(1,+∞)上单调递增,在(0,1)上单调递减.
∴函数g(x0)=2x03﹣3x02+m+3的极值点为x0=0,x0=1
∴关于x0方程2x03﹣3x02+m+3=0有三个实根的充要条件是
练习册系列答案
相关题目