题目内容
已知过点A(-4,0)的动直线l与抛物线C:x2=2py(p>0)相交于B、C两点.当l的斜率是(1)求抛物线C的方程;
(2)设BC的中垂线在y轴上的截距为b,求b的取值范围.
【答案】分析:(1)设出B,C的坐标,利用点斜式求得直线l的方程,与抛物线方程联立消去x,利用韦达定理表示出x1+x2和x1x2,根据
求得y2=4y1,最后联立方程求得y1,y2和p,则抛物线的方程可得.
(2)设直线l的方程,AB中点坐标,把直线与抛物线方程联立,利用判别式求得k的范围,利用韦达定理表示出x1+x2,进而求得x,利用直线方程求得y,进而可表示出AB的中垂线的方程,求得其在y轴上的截距,根据k的范围确定b的范围.
解答:解:(1)设B(x1,y1),C(x2,y2),由已知k1=
时,l方程为y=
(x+4)即x=2y-4.
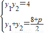
由
得2y2-(8+p)y+8=0
①②∴
又∵
,∴y2=4y1③
由①②③及p>0得:y1=1,y2=4,p=2,即抛物线方程为:x2=4y.
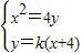
(2)设l:y=k(x+4),BC中点坐标为(x,y)
由
得:x2-4kx-16k=0④
∴
.
∴BC的中垂线方程为
∴BC的中垂线在y轴上的截距为:b=2k2+4k+2=2(k+1)2
对于方程④由△=16k2+64k>0得:k>0或k<-4.
∴b∈(2,+∞)
点评:本题主要考查了直线与圆锥曲线的综合问题.解决此类问题要充分发挥判别式和韦达定理在解题中的作用.
(2)设直线l的方程,AB中点坐标,把直线与抛物线方程联立,利用判别式求得k的范围,利用韦达定理表示出x1+x2,进而求得x,利用直线方程求得y,进而可表示出AB的中垂线的方程,求得其在y轴上的截距,根据k的范围确定b的范围.
解答:解:(1)设B(x1,y1),C(x2,y2),由已知k1=
由
①②∴
又∵
由①②③及p>0得:y1=1,y2=4,p=2,即抛物线方程为:x2=4y.
(2)设l:y=k(x+4),BC中点坐标为(x,y)
由
∴
∴BC的中垂线方程为
∴BC的中垂线在y轴上的截距为:b=2k2+4k+2=2(k+1)2
对于方程④由△=16k2+64k>0得:k>0或k<-4.
∴b∈(2,+∞)
点评:本题主要考查了直线与圆锥曲线的综合问题.解决此类问题要充分发挥判别式和韦达定理在解题中的作用.
练习册系列答案
相关题目