题目内容
关于
的不等式
(
为实常数)的解集为
,则关于
的不等式
的解集为
.
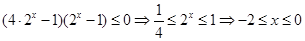
【答案】
![]()
【解析】
试题分析:
,则
.由题意得:不等式
的解为
.
所以
,不等式
即为
,
.
考点:1、一元二次不等式、指数不等式及对数不等式的解法;2、韦达定理.
练习册系列答案
相关题目
题目内容
关于
的不等式
(
为实常数)的解集为
,则关于
的不等式
的解集为
.
![]()
【解析】
试题分析:
,则
.由题意得:不等式
的解为
.
所以
,不等式
即为
,
.
考点:1、一元二次不等式、指数不等式及对数不等式的解法;2、韦达定理.