题目内容
设数列{an}的前n项和为sn,a1=1,an=A.1007
B.1006
C.2012
D.2013
【答案】分析:由已知利用sn-sn-1=
,(n≥2),整理可得
,结合等差数列的求和公式可求s1+
+
+…+
,然后代入已知条件中即可求解n
解答:解:∵an=
,
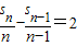
∴sn-sn-1=
,(n≥2)
整理可得,(n-1)sn-nsn-1=2n(n-1)
两边同时除以n(n-1)可得
∴数列{
}是以
=1为首项,以2为公差的等差数列
∴s1+
+
+…+
-(n-1)2
=
-(n-1)2
=n2-(n-1)2
=2n-1
由题意可得,2n-1=2013
解可得n=1007
故选A
点评:本题主要考查了利用数列的递推公式构造等差数列求解通项公式,解题的关键是对已知灵活变形
解答:解:∵an=
∴sn-sn-1=
整理可得,(n-1)sn-nsn-1=2n(n-1)
两边同时除以n(n-1)可得
∴数列{
∴s1+
=
=n2-(n-1)2
=2n-1
由题意可得,2n-1=2013
解可得n=1007
故选A
点评:本题主要考查了利用数列的递推公式构造等差数列求解通项公式,解题的关键是对已知灵活变形
练习册系列答案
相关题目