题目内容
已知函数的最小值不小于,且.
(1)求函数的解析式;
(2)设函数,记函数的最小值为,求的解析式.
(本题满分12分)已知函数.(I)若函数在上是减函数,求实数的取值范围;(II)令,是否存在实数,使得当时,函数的最小值是,若存在,求出实数的值,若不存在,说明理由?(III)当时,证明:.
(本小题共12分)
已知函数的最小值不小于, 且.
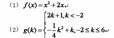
(1)求函数的解析式;
(2)函数在的最小值为实数的函数,求函数的解析式.
(本小题满分12分)已知函数.
(I)若函数在上是减函数,求实数的取值范围;
(II)令,是否存在实数,使得当时,函数的最小值是,若存在,求出实数的值,若不存在,说明理由?
(III)当时,证明:.
(本题满分12分)
已知函数.