题目内容
已知函数f(x)=ax-lnx,x∈(0,e],其中e为自然常数,
(Ⅰ)当a=1时,求f(x)的单调区间和极值;
(Ⅱ)是否存在实数a,使得f(x)的最小值是3,若存在,求出a的值;若不存在,说明理由。
(Ⅰ)当a=1时,求f(x)的单调区间和极值;
(Ⅱ)是否存在实数a,使得f(x)的最小值是3,若存在,求出a的值;若不存在,说明理由。
解:(Ⅰ)a=1,f(x)=x-lnx,x∈(0,e],
,
令f′(x)=0, 即:
,解得x=1;
令f′(x)>0, 即:
,解得1<x≤e;
令f′(x)<0, 即:
,解得0<x<1;
∴f(x)的单调增区间为(1,e],单调减区间为(0,1),
f(x)在x=1处取得极小值为f(1)=1;
(Ⅱ)
,
(1)若
,
∵x∈(0,e],
∴f′(x)<0,
∴f(x)在(0,e]上是减函数,
此时
(舍);
(2)若a>0,令f′(x)=0,即:
;
令f′(x)>0,即:
;
令f′(x)<0,即:
;
①若
,此时f(x)在(0,e]上是减函数,
(舍);
②若
,此时f(x)在(0,e]上左减右增,
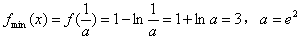
;
综上可知:存在
,使得f(x)的最小值是3。
令f′(x)=0, 即:
令f′(x)>0, 即:
令f′(x)<0, 即:
∴f(x)的单调增区间为(1,e],单调减区间为(0,1),
f(x)在x=1处取得极小值为f(1)=1;
(Ⅱ)
(1)若
∵x∈(0,e],
∴f′(x)<0,
∴f(x)在(0,e]上是减函数,
此时
(2)若a>0,令f′(x)=0,即:
令f′(x)>0,即:
令f′(x)<0,即:
①若
②若
综上可知:存在
练习册系列答案
相关题目