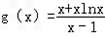
题目内容
已知函数f(x)=ax+xlnx的图象在点x=e(e为自然对数的底数)处的切线斜率为3.
(1)求实数a的值;
(2)若k∈Z,且
对任意x>1恒成立,求k的最大值;
(3)当n>m≥4时,证明(mnn)m>(nmm)n.
(1)求实数a的值;
(2)若k∈Z,且
(3)当n>m≥4时,证明(mnn)m>(nmm)n.
(1)解:因为f(x)=ax+xlnx,所以f'(x)=a+lnx+1.
因为函数f(x)=ax+xlnx的图象在点x=e处的切线斜率为3,
所以f'(e)=3,即a+lne+1=3.所以a=1.
(2)解:由(1)知,f(x)=x+xlnx,所以
对任意x>1恒成立,即
对任意x>1恒成立.
令
,则
,
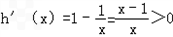
令h(x)=x﹣lnx﹣2(x>1),则
,
所以函数h(x)在(1,+∞)上单调递增.
因为h(3)=1﹣ln3<0,h(4)=2﹣2ln2>0,
所以方程h(x)=0在(1,+∞)上存在唯一实根x0,且满足x0∈(3,4).
当1<x<x0时,h(x)<0,即g'(x)<0,
当x>x0时,h(x)>0,即g'(x)>0,
所以函数
在(1,x0)上单调递减,在(x0,+∞)上单调递增.
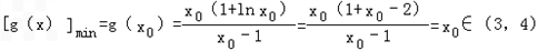
所以
.
所以k<[g(x)]min=x0∈(3,4).故整数k的最大值是3.
(3)证明:由(2)知,
是[4,+∞)上的增函数,
所以当n>m≥4时,
.
即n(m﹣1)(1+lnn)>m(n﹣1)(1+lnm).
整理,得mnlnn+mlnm>mnlnm+nlnn+(n﹣m).
因为n>m,所以mnlnn+mlnm>mnlnm+nlnn.
即lnnmn+lnmm>lnmmn+lnnn.即ln(nmnmm)>ln(mmnnn).
所以(mnn)m>(nmm)n.
因为函数f(x)=ax+xlnx的图象在点x=e处的切线斜率为3,
所以f'(e)=3,即a+lne+1=3.所以a=1.
(2)解:由(1)知,f(x)=x+xlnx,所以
令
令h(x)=x﹣lnx﹣2(x>1),则
所以函数h(x)在(1,+∞)上单调递增.
因为h(3)=1﹣ln3<0,h(4)=2﹣2ln2>0,
所以方程h(x)=0在(1,+∞)上存在唯一实根x0,且满足x0∈(3,4).
当1<x<x0时,h(x)<0,即g'(x)<0,
当x>x0时,h(x)>0,即g'(x)>0,
所以函数
所以
所以k<[g(x)]min=x0∈(3,4).故整数k的最大值是3.
(3)证明:由(2)知,
所以当n>m≥4时,
即n(m﹣1)(1+lnn)>m(n﹣1)(1+lnm).
整理,得mnlnn+mlnm>mnlnm+nlnn+(n﹣m).
因为n>m,所以mnlnn+mlnm>mnlnm+nlnn.
即lnnmn+lnmm>lnmmn+lnnn.即ln(nmnmm)>ln(mmnnn).
所以(mnn)m>(nmm)n.
练习册系列答案
相关题目