题目内容
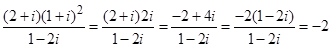
= .
【解析】
试题分析:.
考点:复数的四则运算.
对于三次函数,定义是函数的导函数。若方程有实数解,则称点为函数的“拐点”。有同学发现:任何一个三次函数既有拐点,又有对称中心,且拐点就是对称中心。根据这一发现,对于函数,则 的值为__________.
函数在区间上的最小值为_________.
如图,正三棱柱中,点是的中点.
(Ⅰ)求证: 平面;
(Ⅱ)求证: 平面.
已知都是单位向量,且,则的值为 .
如图,某生态园欲把一块四边形地辟为水果园,其中, ,.若经过上一点和上一点铺设一条道路,且将四边形分成面积相等的两部分,设.
(1)求的关系式;
(2)如果是灌溉水管的位置,为了省钱,希望它最短,求的长的最小值;
(3)如果是参观路线,希望它最长,那么的位置在哪里?
已知函数, 若函数有3个零点,则实数的取值范围是 .
已知平面上的线段及点,任取上的一点,线段长度的最小值称为点到线段的距离,记为.设,,,,,,若满足,则关于的函数解析式为 .
已知圆的极坐标方程为,则该圆的圆心到直线 的距离是 .