题目内容
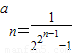
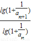
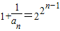
已知数列{an}满足a1=1,an2=(2an+1)an+1(n∈N*).(1)令
(2)求数列{an}的通项公式;
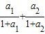
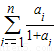
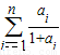
(3)求证:
【答案】分析:(1)利用等比数列的定义和对数的运算性质证明
为常数即可;
(2)由(1),利用等比数列的通项公式即可得出;
(3)通过二项式定理放缩,再利用等比数列的前n项和公式即可得出.
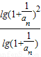
解答:(1)证明:∵
=
=
=
=2,
∴数列{bn}是以
=lg2为首项,以2为公比的等比数列.
(2)由(1)知
,即
,故
.
(3)由(2)得
=
,
∴
=
+…+
=
+…+
,
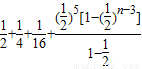
当n≥4时,
+…+
=n+1,
即n≥4时,
,
故
<
+
=
=
.
∴
.
点评:数列掌握等比数列的定义和通项公式、前n项和公式、对数的运算性质、二项式定理等是解题的关键.
(2)由(1),利用等比数列的通项公式即可得出;
(3)通过二项式定理放缩,再利用等比数列的前n项和公式即可得出.
解答:(1)证明:∵
∴数列{bn}是以
(2)由(1)知
(3)由(2)得
∴
当n≥4时,
即n≥4时,
故
=
∴
点评:数列掌握等比数列的定义和通项公式、前n项和公式、对数的运算性质、二项式定理等是解题的关键.
练习册系列答案
相关题目