搜索
题目内容
求函数
的切线与坐标轴围成的三角形面积的最大值。
试题答案
相关练习册答案
解:∵过函数图象上任意一点
的切线方程是
,
∴切线在
轴和
轴上的截距分别为
,
.
∴切线与坐标轴围成的三角形面
.
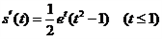
,
由
得
.
当
时,
,
为增函数;
当
时,
,
为减函数.
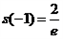
,
,
所以函数
的切线与坐标轴围成的三角形面积的最大值为
.
练习册系列答案
暑假课程练习南方出版社系列答案
期末复习指导期末加假期加衔接东南大学出版社系列答案
开心假期年度总复习吉林教育出版社系列答案
初中暑假作业陕西人民教育出版社系列答案
快乐学习暑假作业东方出版社系列答案
假期作业现代教育出版社系列答案
国华图书学习总动员年度总复习暑长江出版社系列答案
暑假作业假期课堂系列答案
暑假作业长江少年儿童出版社系列答案
暑假学与练浙江科学技术出版社系列答案
相关题目
已知函数f(x)=e
x
+ax-1(e为自然对数的底数).
(I)当a=1时,求过点(1,f(1))处的切线与坐标轴围成的三角形的面积;
(II)若f(x)≥x
2
在(0,1 )上恒成立,求实数a的取值范围.
(2011•西城区二模)已知函数
f(x)=(1-
a
x
)
e
x
(x>0)
,其中e为自然对数的底数.
(Ⅰ)当a=2时,求曲线y=f(x)在(1,f(1))处的切线与坐标轴围成的面积;
(Ⅱ)若函数f(x)存在一个极大值点和一个极小值点,且极大值与极小值的积为e
5
,求a的值.
设函数f(x)=(x-a)
2
lnx,a∈R,e为自然对数的底数,e=2.7182…
(1)如果x=e为函数y=f(x)的极大值点,求a的值;
(2)如果函数f(x)在x=e处的切线与坐标轴围成的三角形的面积等于2e
3
,求a的值;
(3)在(2)的条件下,当x∈[e,e
2
]时,求f(x)的最大值和最小值.
已知函数
f(x)=(1-
a
x
)
e
x
(x>0)
,其中e为自然对数的底数.
(Ⅰ)当a=2时,求曲线
(2
2
,
π
4
)
在(1,l:x=1)处的切线与坐标轴围成的面积;
(Ⅱ)若函数
ρ=
2
2
+
2
2
=2
2
存在一个极大值点和一个极小值点,且极大值与极小值的积为e
5
,求a的值.
关 闭
试题分类
高中
数学
英语
物理
化学
生物
地理
初中
数学
英语
物理
化学
生物
地理
小学
数学
英语
其他
阅读理解答案
已回答习题
未回答习题
题目汇总
试卷汇总
练习册解析答案