题目内容
设数列{an}的前n项和为Sn,且对任意正整数n,an+Sn=32.(1)求数列{an}的通项公式
(2)设数列{log2an}的前n项和为Tn,对数列{Tn},从第几项起Tn<-18?
【答案】分析:(I)利用
即可得出;
(II)利用(I)可得
,再利用等差数列的前n项和公式即可得出.
解答:解:(Ⅰ)当n=1,a1=16,
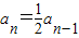
当n>1,an+Sn=32,an-1+Sn-1=32,两式相减得
.
数列{an}是首项为16,公比为
的等比数列,
∴
=25-n.
(Ⅱ)∵log2an=5-n,
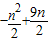
∴
=
<-18,解得n>12.
∴从13项起满足Tn<-18.
点评:熟练掌握利用
得出an、等差数列的前n项和公式、对数的运算性质等是解题的 关键.
(II)利用(I)可得
解答:解:(Ⅰ)当n=1,a1=16,
当n>1,an+Sn=32,an-1+Sn-1=32,两式相减得
数列{an}是首项为16,公比为
∴
(Ⅱ)∵log2an=5-n,
∴
∴从13项起满足Tn<-18.
点评:熟练掌握利用
练习册系列答案
相关题目