题目内容
若某程序框图如图所示,则该程序运行后输出的值等于________.
![]()
【答案】
![]()
【解析】
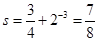
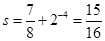
试题分析:![]()
;![]()
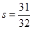
;![]()
;![]()
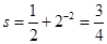
;![]()
;
,∴
否,所以输出
.
考点:程序框图.
练习册系列答案
相关题目
题目内容
若某程序框图如图所示,则该程序运行后输出的值等于________.
![]()
![]()
【解析】
试题分析:![]()
;![]()
;![]()
;![]()
;![]()
;
,∴
否,所以输出
.
考点:程序框图.