题目内容
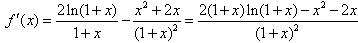
已知函数f(x)=ln2(1+x)-
。
(1)求函数f(x)的单调区间;
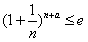
(2)若不等式(1+
)n+a≤e对任意的n∈N*都成立(其中e是自然对数的底数)。求a的最大值。
(1)求函数f(x)的单调区间;
(2)若不等式(1+
解:(1)函数f(x)的定义域是

设
则
令
则
当
时,
在(-1,0)上为增函数
当x>0时,
在
上为减函数
所以h(x)在x=0处取得极大值,而h(0)=0
所以
函数g(x)在
上为减函数
于是当
时,
当x>0时,
所以,当
时,
在(-1,0)上为增函数
当x>0时,
在
上为减函数
故函数f(x)的单调递增区间为(-1,0),单调递减区间为
。
(2)不等式
等价于
由
知
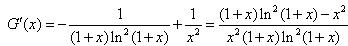
设
则
由(1)知
即
所以
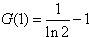
于是G(x)在
上为减函数
故函数G(x)在
上的最小值为
所以a的最大值为
。
设
则
令
则
当
当x>0时,
所以h(x)在x=0处取得极大值,而h(0)=0
所以
函数g(x)在
于是当
当x>0时,
所以,当
当x>0时,
故函数f(x)的单调递增区间为(-1,0),单调递减区间为
(2)不等式
由
设
则
由(1)知
所以
故函数G(x)在
所以a的最大值为
练习册系列答案
相关题目