题目内容
已知等比数列{an}中,各项都是正数,且a1,A.1+
B.1-
C.3+2
D.3-2
【答案】分析:先根据等差中项的性质可知得2×(
)=a1+2a2,进而利用通项公式表示出q2=1+2q,求得q,代入
中即可求得答案.
解答:解:依题意可得2×(
)=a1+2a2,
即,a3=a1+2a2,整理得q2=1+2q,
求得q=1±
,
∵各项都是正数
∴q>0,q=1+
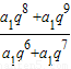
∴
=
=3+2
故选C
点评:本题主要考查了等差数列和等比数列的性质.考查了学生综合分析的能力和对基础知识的理解.
解答:解:依题意可得2×(
即,a3=a1+2a2,整理得q2=1+2q,
求得q=1±
∵各项都是正数
∴q>0,q=1+
∴
故选C
点评:本题主要考查了等差数列和等比数列的性质.考查了学生综合分析的能力和对基础知识的理解.
练习册系列答案
相关题目