题目内容
(本小题12分)设的内角 对边分别为,且,
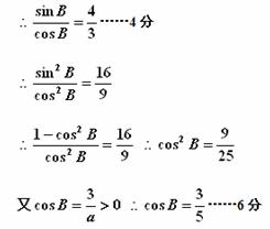
(1)求;
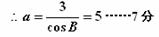
(2)若的面积,求的周长
(本小题12分)
(1)由正弦定理得
由已知得
(2)10+2
(本小题12分)设是一个公差为的等差数列,它的前10项和且,,成等比数列.(Ⅰ)证明; (Ⅱ)求公差的值和数列的通项公式。
(本小题12分)设函数
(1)、求函数的最大值和最小正周期;
(2)、将函数的图像按向量平移,使平移后得到的图像关于坐标原点成中心对称,求长度最小的向量。
设函数
(1)若关于的方程有三个不同的实根,求实数的取值范围。
(2)当时,恒成立。求实数的取值范围。
.(本小题12分)
(1)讨论函数的单调性;
(2)求函数在上的最大值和最小值。