题目内容
已知椭圆C:(I)求椭圆C的方程;
(Ⅱ)若斜率为k的直线过点M(2,0),且与椭圆C相交于A,B两点.试探讨k为何值时,三角形OAB为直角三角形.
【答案】分析:(Ⅰ)由题意可知b和c,利用隐含条件求出a,则椭圆方程可求;
(Ⅱ)设出直线AB的方程,联立直线方程和椭圆方程,由判别式大于0求出k的范围,利用根与系数关系得到A与B的横坐标的和与积,讨论O与A(或B)为直角顶点两种情况,O为直角顶点时,直接由
列式求解k的值,若A(或B)为直角顶点时,由斜率之积等于-1求出OA的斜率,由两直线联立解出A点(或B)点坐标,代入椭圆方程求得k的值.
解答:解:(Ⅰ)因为焦点与短轴的端点都在圆x2+y2=1上,
∴c=1,b=1,
∴a2=b2+c2=1+1=2.
则椭圆方程为:
;
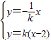
(Ⅱ)由已知直线AB的斜率存在,设直线AB的方程为y=k(x-2).
联立
,得(1+k2)x2-8k2x+8k2-2=0.
由△=64k4-4(1+k2)(8k2-2)>0,得
.
所以k
.
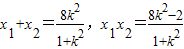
设A(x1,y1),B(x2,y2).
则
.
若O为直角顶点,则
,即x1x2+y1y2=0.
y1y2=k(x1-2)k(x2-2).
所以上式可整理得:
.
解得k=
.满足k
.
若A或B为直角顶点,不妨设A为直角顶点,
,则A满足
,解得
代入椭圆方程得k4+2k2-1=0.
解得k=
.满足k
.
综上,k=
或k=
时三角形OAB为直角三角形.
点评:本题考查了椭圆的标准方程,考查了直线和圆锥曲线的关系,考查了分类讨论的数学思想方法哈数学转化思想方法,训练了平面向量在解题中的应用,考查了学生的计算能力,是难题.
(Ⅱ)设出直线AB的方程,联立直线方程和椭圆方程,由判别式大于0求出k的范围,利用根与系数关系得到A与B的横坐标的和与积,讨论O与A(或B)为直角顶点两种情况,O为直角顶点时,直接由
解答:解:(Ⅰ)因为焦点与短轴的端点都在圆x2+y2=1上,
∴c=1,b=1,
∴a2=b2+c2=1+1=2.
则椭圆方程为:
(Ⅱ)由已知直线AB的斜率存在,设直线AB的方程为y=k(x-2).
联立
由△=64k4-4(1+k2)(8k2-2)>0,得
所以k
设A(x1,y1),B(x2,y2).
则
若O为直角顶点,则
y1y2=k(x1-2)k(x2-2).
所以上式可整理得:
解得k=
若A或B为直角顶点,不妨设A为直角顶点,
代入椭圆方程得k4+2k2-1=0.
解得k=
综上,k=
点评:本题考查了椭圆的标准方程,考查了直线和圆锥曲线的关系,考查了分类讨论的数学思想方法哈数学转化思想方法,训练了平面向量在解题中的应用,考查了学生的计算能力,是难题.
练习册系列答案
相关题目