题目内容
已知等差数列{an}的前四项和为10,且a2,a3,a7成等比数列.(1)求通项公式an
(2)设
【答案】分析:(1)利用等差数列的通项公式分别表示出前四项和与a2,a3,a7等比数列关系组成方程组求得a1和d,最后根据等差数列的通项公式求得an.
(2)把(1)中求得的an代入
中,可知数列{bn}为等比数列,进而根据等比数列的求和公式求得答案.
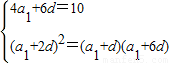
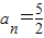
解答:解:(1)由题意知

所以
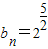
(2)当an=3n-5时,数列{bn}是首项为
、公比为8的等比数列
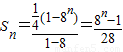
所以
当
时,
所以Sn=n•
综上,所以
或Sn=n•
点评:本题主要考查了等差数列和等比数列的性质.考查了对数列通项公式和求和公式等基本知识的灵活运用.
(2)把(1)中求得的an代入
解答:解:(1)由题意知
所以
(2)当an=3n-5时,数列{bn}是首项为
所以
当
综上,所以
点评:本题主要考查了等差数列和等比数列的性质.考查了对数列通项公式和求和公式等基本知识的灵活运用.
练习册系列答案
相关题目