题目内容
已知函数f(x)=ax3+bx2-3x(a,b∈R),且f(x)在x=1和x=3处取得极值。
(1)求函数f(x)的解析式;
(2)设函数g(x)=f(x)+t,是否存在实数t,使得曲线y=g(x)与x轴有两个交点,若存在,求出t的值;若不存在,请说明理由。
(1)求函数f(x)的解析式;
(2)设函数g(x)=f(x)+t,是否存在实数t,使得曲线y=g(x)与x轴有两个交点,若存在,求出t的值;若不存在,请说明理由。
解:(1)f'(x)=3ax2+2bx-3,
因为f(x)在x=1和x=3处取得极值,
所以x=1和x=3是f'(x)=0的两个根
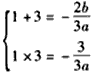
∴
即
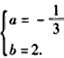
所以
;
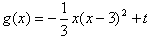
(2)
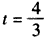
令
∴
当x变化时,g'(x),g(x)变化情况如下表:

由上表可知:g(x)极大值=g(3)=t;g(x)极小值=g(1)=
∵
∴由此可知x取足够大的正数时,有g(x)<0;x取足够小的负数时,有g(x)>0
因此,为使曲线y=g(x)与x轴有两个交点,结合g(x)的单调性,必有:g(x)极大值=g(3)=t=0,
或
∴
或
所以存在t且t=0或
符合题目要求。
因为f(x)在x=1和x=3处取得极值,
所以x=1和x=3是f'(x)=0的两个根
∴
即
所以
(2)
令
∴
当x变化时,g'(x),g(x)变化情况如下表:
由上表可知:g(x)极大值=g(3)=t;g(x)极小值=g(1)=
∵
∴由此可知x取足够大的正数时,有g(x)<0;x取足够小的负数时,有g(x)>0
因此,为使曲线y=g(x)与x轴有两个交点,结合g(x)的单调性,必有:g(x)极大值=g(3)=t=0,
或
∴
所以存在t且t=0或
练习册系列答案
相关题目