题目内容

在平面直角坐标系xOy中,点B与点A(-1,1)关于原点O对称,P是动点,且直线AP与BP的斜率之积等于.

(1)求动点P的轨迹方程;

(2)设直线AP和BP分别与直线x=3交于点M,N,问:是否存在点P使得△PAB与△PMN的面积相等?若存在,求出点P的坐标;若不存在,说明理由.

 

【答案】

(1);(2)存在,且点的坐标为.

【解析】

试题分析:(1)本题只要直接设出动点的坐标为,用表示出已知条件,即可求出所求轨迹方程;(2)此问题存在性问题,解决的方法是假设这个点存在,然后根据已知条件去求这个点,若能求出,则存在,若求不出,则不存在在.即设存在题设的点,其坐标为,然后求出的坐标,进而求出,令,求.当然考虑到△PAB与△PMN有一对对顶角,也可这样求三角形的面积:,由于,所以由,得,也即,这个式子可很快求出

试题解析:(1)解:因为点B与A关于原点对称,所以点得坐标为

设点的坐标为由题意得  ,化简得:.

故动点的轨迹方程为:             4分

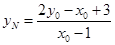
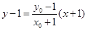
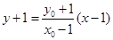
(2)解法一:设点P的坐标为,点M,N的坐标为

则直线AP的方程为,直线BP的方程为

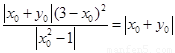
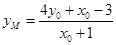
,得

于是的面积是

又直线AB的方程为,点P到直线AB的距离

于是的面积

时,

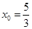
,∴,解得

,∴

故存在点P使得△PAB与△PMN的面积相等,此时P点坐标为

解法二:若存在点使得的面积相等,设点的坐标为

.

因为,  所以

所以  即,解得

因为,所以故存在点S使得的面积相等,此时点的坐标为.              10分

考点:(1)直接法求轨迹方程;(2)解析几何综合问题.

 

练习册系列答案
相关题目

违法和不良信息举报电话:027-86699610 举报邮箱:58377363@163.com

精英家教网