搜索
题目内容
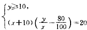
小王第一次在商店买x件某种产品花去y(y≥10)元,第二次再买这种商品时,发现该商品已降价,且100件恰好降80元,于是小王第二次比第一次多买了10件,共花去20元,那么他第一次至少买这种商品几件?(列出关于x的不等式即可,不要求解不等式)
试题答案
相关练习册答案
解:由题意,得
即2x
2
+45x-250≥0。
练习册系列答案
暑假集训合肥工业大学出版社系列答案
暑假总复习暑假接力棒云南大学出版社系列答案
素质新目标暑假作业浙江人民出版社系列答案
暑假作业完美假期生活湖南教育出版社系列答案
暑假作业浙江科学技术出版社系列答案
时代天华暑假新天地暑假作业河北教育出版社系列答案
熠光传媒暑假生活云南人民出版社系列答案
波波熊快乐暑假广西师范大学出版社系列答案
帮你学暑假作业科学普及出版社系列答案
通城学典暑期升级训练延边大学出版社系列答案
相关题目
关 闭
试题分类
高中
数学
英语
物理
化学
生物
地理
初中
数学
英语
物理
化学
生物
地理
小学
数学
英语
其他
阅读理解答案
已回答习题
未回答习题
题目汇总
试卷汇总
练习册解析答案