题目内容
设函数f(x)=x2-aln(2x+1)(x∈(-
,1],a>0)
(1)若函数f(x)在其定义域内是减函数,求a的取值范围;
(2)函数f(x)是否有最小值?若有最小值,指出其取得最小值时x的值,并证明你的结论。
解:(1)∵
,
∵f(x)在x∈(-
,1]上是减函数,
∴
在
恒成立,
又∵当
时,2x+1>0,
∴不等式
在
恒成立,
即
在
时恒成立,
设g(x)=
,
,则
,∴a≥3;
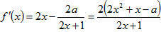
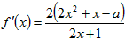
(2)∵
,令
,
解得:
,
,
由于a>0,∴
,
,
∴
,
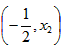
①当
,即0<a<3时,在
上
;
在
上
,
∴当
时,函数f(x)在
上取最小值;
② 当
即a≥3时,在
上
,
∴当x=1时,函数f(x)在
上取最小值
由①②可知,当0<a<3时,函数f(x)在
时取最小值;
当a≥3时,函数f(x)在x=1时取最小值。
∵f(x)在x∈(-
∴
又∵当
∴不等式
即
设g(x)=
(2)∵
解得:
由于a>0,∴
∴
①当
在
∴当
② 当
∴当x=1时,函数f(x)在
由①②可知,当0<a<3时,函数f(x)在
当a≥3时,函数f(x)在x=1时取最小值。
练习册系列答案
相关题目