题目内容

如图,点分别是椭圆C:的左、右焦点,过点轴的垂线,交椭圆的上半部分于点,过点的垂线交直线于点.

(1)如果点的坐标为(4,4),求椭圆的方程;

(2)试判断直线与椭圆的公共点个数,并证明你的结论.

 

【答案】

(1);(2)1个.

【解析】

试题分析:(1)要求椭圆方程,由于,需要通过已知条件表示出点的坐标,由于轴,则,代入椭圆方程求得点的纵坐标,从而求得直线的斜率,根据求的直线的斜率,有直线方程的点斜式求出直线的方程,直线的方程与联立求得点的坐标,从而求得,由于椭圆中可求出,即可求得椭圆的方程;(2)要判断直线与椭圆的公共点个数,需要求出直线的方程,与椭圆方程联立,消去得到关于得一元二次方程,通过判断这个方程的的根的情况,即可得出所求的交点的个数.

试题解析:解方程组点的坐标为

 ,直线的方程为

代入上式解得.                4分

(1)因为点的坐标为(4,4),所以,解得

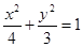
椭圆的方程为.                            7分

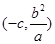
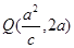
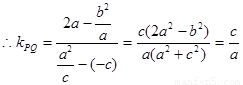
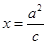
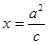
(2),则 点的坐标为

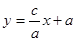
的方程为,即,         9分

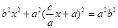
的方程代入椭圆的方程得

     ①

方程①可化为

解得

所以直线与椭圆只有一个公共点                     13分

考点:椭圆的性质,直线与椭圆的位置关系.

 

练习册系列答案
相关题目

违法和不良信息举报电话:027-86699610 举报邮箱:58377363@163.com

精英家教网