题目内容
函数f(x)=A.m≤5
B.m
C.m≤4
D.m
【答案】分析:求函数的导数,利用导数含函数单调性的关系进行判断,要使f(x)在[1,3]上单调增函数,则f'(x)≥0恒成立即可.
解答:解:函数导数为f'(x)=x2-mx+4,要使f(x)在[1,3]上单调增函数,则f'(x)≥0恒成立即可.
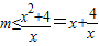
即f'(x)=x2-mx+4≥0在[1,3]上恒成立.
即
成立.
因为
,当且仅当
,x=2时取等号,
所以m≤4.
故选C.
点评:本题主要考查函数的单调性和函数单调性之间的关系,将含参问题转化为最值恒成立,是解决本题的关键.
解答:解:函数导数为f'(x)=x2-mx+4,要使f(x)在[1,3]上单调增函数,则f'(x)≥0恒成立即可.
即f'(x)=x2-mx+4≥0在[1,3]上恒成立.
即
因为
所以m≤4.
故选C.
点评:本题主要考查函数的单调性和函数单调性之间的关系,将含参问题转化为最值恒成立,是解决本题的关键.
练习册系列答案
相关题目