题目内容
△ABC中,角A、B、C的对边分别为a,b,c,已知A.等腰△
B.等边△
C.Rt△
D.等腰Rt△
【答案】分析:利用二倍角的余弦函数,化简已知表达式,通过余弦定理转化为三角形的边的关系,即可判断三角形的形状.
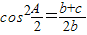
解答:解:因为△ABC中,角A、B、C的对边分别为a,b,c,已知
,
所以1+cosA=
,
由余弦定理可知1+
=
,
即2bc+b2+c2-a2=2bc+2c2,
∴b2=c2+a2,
所以三角形是直角三角形.
故选C.
点评:本题考查三角形形状的判断,余弦定理的应用,二倍角的余弦函数的应用,考查计算能力.
解答:解:因为△ABC中,角A、B、C的对边分别为a,b,c,已知
所以1+cosA=
由余弦定理可知1+
即2bc+b2+c2-a2=2bc+2c2,
∴b2=c2+a2,
所以三角形是直角三角形.
故选C.
点评:本题考查三角形形状的判断,余弦定理的应用,二倍角的余弦函数的应用,考查计算能力.
练习册系列答案
相关题目