题目内容
在△ABC中,A,B,C满足(I)求角A
(II)若
【答案】分析:(Ⅰ)在△ABC中,由
,利用两角和的正弦公式求出cosA的值,即可求得A的值.
(Ⅱ)先求出
=(cosB,cosC),化简
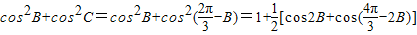
=
,再根据B的范围求得
时,
取得最小值
,从而得到
的最小值.
解答:解:(Ⅰ)在△ABC中,∵
,
即
,∴
,∴
.(4分)
∵0<A<π,∴
. (5分)
(Ⅱ)∵
=(cosB,cosC),(6分)
∴
=
=
. (8分)
∵
,∴
,∴
,从而
.(9分)
∴当
=1,即
时,
取得最小值
. (11分)
所以,
的最小值为
. (12分)
点评:本题主要考查两角和差的正弦公式,两个向量的数量积的运算,求向量的模以及正弦函数的定义域和值域,属于
中档题.
(Ⅱ)先求出
解答:解:(Ⅰ)在△ABC中,∵
即
∵0<A<π,∴
(Ⅱ)∵
∴
=
∵
∴当
所以,
点评:本题主要考查两角和差的正弦公式,两个向量的数量积的运算,求向量的模以及正弦函数的定义域和值域,属于
中档题.
练习册系列答案
相关题目
在△ABC中,∠A、∠B、∠C所对的边长分别是a、b、c.满足2acosC+ccosA=b.则sinA+sinB的最大值是( )
A、
| ||||
| B、1 | ||||
C、
| ||||
D、
|