题目内容
△ABC中,角A、B、C所对应的边分别为a、b、c,若(1)求角A;
(2)若f(x)=cos2(x+A)-sin2(x-A),求f(x)的单调递增区间.
【答案】分析:(1)由
,得
,即a2=b2+c2-bc,由余弦定理,得
,可得A的值.
(2)化简f(x)=
,由 2kπ≤2x≤2kπ+π(k∈Z),求得f(x)的单调递增区间.
解答:解:(1)由
,得
,即a2=b2+c2-bc,由余弦定理,得
,
∴
.
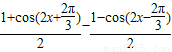
(2)f(x)=cos2(x+A)-sin2(x-A)=
=
=
.
由2kπ≤2x≤2kπ+π(k∈Z),得
,
故f(x)的单调递增区间为
,k∈Z.
点评:本题考查正弦定理、余弦定理的应用,利用余弦函数的单调性,求出角A的值,是解题的关键.
(2)化简f(x)=
解答:解:(1)由
∴
(2)f(x)=cos2(x+A)-sin2(x-A)=
由2kπ≤2x≤2kπ+π(k∈Z),得
故f(x)的单调递增区间为
点评:本题考查正弦定理、余弦定理的应用,利用余弦函数的单调性,求出角A的值,是解题的关键.
练习册系列答案
相关题目