题目内容
有以下四个命题:(1)2n>2n+1(n≥3);
(2)2+4+6+…+2n=n2+n+2(n≥1);
(3)凸n边形内角和为f(n)=(n-1)π(n≥3);
(4)凸n边形对角线条数f(n)=
其中满足“假设n=k(k∈N,k≥n).时命题成立,则当n=k+1时命题也成立.”但不满足“当n=n(n是题中给定的n的初始值)时命题成立”的命题序号是 .
【答案】分析:对于命题(1)可以验证当n等于给定的初始值成立,所以不满足条件.
对于命题(2)容易验证假设n=k时命题成立,则当n=k+1时命题也成立.对于初始值n=1时,不成立.所以满足条件.
对于命题(3)容易验证假设n=k时命题成立,则当n=k+1时命题也成立.对于初始值n=3内角和为π,不成立.故满足条件.
对于命题(4)凸n边形对角线条数f(n)=
,假设n=k时命题成立,当n=k+1时多了一条边,即多了一个顶点,故多了k个对角线,则可以验证当n=k+1时不成立.不满足要求.
解答:解:对于命题(1)2n>2n+1(n≥3);当n=3的时候有8>7,故当n等于给定的初始值成立,所以不满足条件.
对于命题(2)2+4+6+…+2n=n2+n+2(n≥1);假设n=k时命题成立,即2+4+6+…+2k=k2+k+2,当n=k+1时有2+4+6+…+2k+2(k+1)=k2+k+2+2(k+1)=k2+2k+1+k+3=(k+1)2+(k+1)+2.故对n=k+1时命题也成立.对于初始值n=1时有4≠4+2+2,不成立.所以满足条件.
对于命题(3)凸n边形内角和为f(n)=(n-1)π(n≥3);假设n=k时命题成立,即f(k)=(k-1)π,当n=k+1时有f(k+1)=
f(k)+π=kπ故对n=k+1时命题也成立,对于初始值n=3内角和为π,不成立.故满足条件.
对于命题(4)凸n边形对角线条数f(n)=
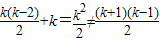
,假设n=k时命题成立,即f(k)=
,当n=k+1时有f(k+1)=f(k)+k=
,故不满足条件.
故答案为(2)(3).
点评:此题主要考查数学归纳法的验证过程,属于概念性试题,有一定的计算量,对学生灵活应用能力要求较高,属于中档题目.
对于命题(2)容易验证假设n=k时命题成立,则当n=k+1时命题也成立.对于初始值n=1时,不成立.所以满足条件.
对于命题(3)容易验证假设n=k时命题成立,则当n=k+1时命题也成立.对于初始值n=3内角和为π,不成立.故满足条件.
对于命题(4)凸n边形对角线条数f(n)=
解答:解:对于命题(1)2n>2n+1(n≥3);当n=3的时候有8>7,故当n等于给定的初始值成立,所以不满足条件.
对于命题(2)2+4+6+…+2n=n2+n+2(n≥1);假设n=k时命题成立,即2+4+6+…+2k=k2+k+2,当n=k+1时有2+4+6+…+2k+2(k+1)=k2+k+2+2(k+1)=k2+2k+1+k+3=(k+1)2+(k+1)+2.故对n=k+1时命题也成立.对于初始值n=1时有4≠4+2+2,不成立.所以满足条件.
对于命题(3)凸n边形内角和为f(n)=(n-1)π(n≥3);假设n=k时命题成立,即f(k)=(k-1)π,当n=k+1时有f(k+1)=
f(k)+π=kπ故对n=k+1时命题也成立,对于初始值n=3内角和为π,不成立.故满足条件.
对于命题(4)凸n边形对角线条数f(n)=
故答案为(2)(3).
点评:此题主要考查数学归纳法的验证过程,属于概念性试题,有一定的计算量,对学生灵活应用能力要求较高,属于中档题目.
练习册系列答案
相关题目