题目内容
已知{an}为等差数列,且a3=-6,a6=0,
(Ⅰ)求{an}的通项公式;
(Ⅱ)若等比数列{bn}满足b1=-8,b2=a1+a2+a3,求{bn}的前n项和公式.
(Ⅰ)求{an}的通项公式;
(Ⅱ)若等比数列{bn}满足b1=-8,b2=a1+a2+a3,求{bn}的前n项和公式.
解:(Ⅰ)设等差数列{an}的公差为d,
因为a3=-6,a6=0,所以
,解得a1=-10,d=2,
所以an=-10+(n-1)·2=2n-12。
(Ⅱ)设等比数列{bn}的公比为q,
因为b2=a1+a2+a3=-24,b1=-8,
所以-8q=-24,即q=3,
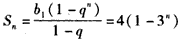
所以{bn}的前n项和公式为
。
因为a3=-6,a6=0,所以
所以an=-10+(n-1)·2=2n-12。
(Ⅱ)设等比数列{bn}的公比为q,
因为b2=a1+a2+a3=-24,b1=-8,
所以-8q=-24,即q=3,
所以{bn}的前n项和公式为
练习册系列答案
相关题目