题目内容
(Ⅰ)求点P的轨迹C的方程;
(Ⅱ)若Q是轨迹C上异于点P的一个点,且
【答案】分析:(Ⅰ)设点P(x,y)为所求轨迹上的任意一点,则由kOP+kOA=kPA得,
,从而就可以得到轨迹C的方程;
(Ⅱ)方法一、设
,由
可知直线PQ∥OA,则kPQ=kOA,
可得x2+x1=-1,由O、M、P三点共线可知,
与
共线,从而可得
,
这样,我们可以求出M的横坐标,由S△PQA=2S△PAM,得到QA=2AM,因为PQ∥OA,所以OP=2OM,从而可求P的坐标;
方法二、设
,确定直线OP方程、直线QA方程,我们可以得出点M的横坐标为定值
,由S△PQA=2S△PAM,得到QA=2AM,因为PQ∥OA,所以OP=2OM,从而可求P的坐标.
解答:
解:(Ⅰ)设点P(x,y)为所求轨迹上的任意一点,则由kOP+kOA=kPA得,
,
整理得轨迹C的方程为y=x2(x≠0且x≠-1).(4分)
(Ⅱ)方法一、
设
,
由
可知直线PQ∥OA,则kPQ=kOA,
故
,即x2+x1=-1,(6分)
由O、M、P三点共线可知,
与
共线,
∴
,
由(Ⅰ)知x1≠0,故y=xx1,(8分)
同理,由
与
共线,
∴
,
即(x2+1)[(x+1)(x2-1)-(y-1)]=0,
由(Ⅰ)知x1≠-1,故(x+1)(x2-1)-(y-1)=0,(10分)
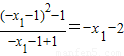
将y=xx1,x2=-1-x1代入上式得(x+1)(-2-x1)-(xx1-1)=0,
整理得-2x(x1+1)=x1+1,
由x≠-1得
,(12分)
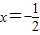
由S△PQA=2S△PAM,得到QA=2AM,因为PQ∥OA,所以OP=2OM,
由
,得x1=1,∴P的坐标为(1,1). (14分)
方法二、设
,
由
可知直线PQ∥OA,则kPQ=kOA,
故
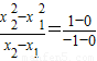
,即x2=-x1-1,(6分)
∴直线OP方程为:y=x1x①;(8分)
直线QA的斜率为:
,
∴直线QA方程为:y-1=(-x1-2)(x+1),即y=-(x1+2)x-x1-1②;(10分)
联立①②,得
,∴点M的横坐标为定值
.(12分)
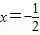
由S△PQA=2S△PAM,得到QA=2AM,因为PQ∥OA,所以OP=2OM,
由
,得x1=1,∴P的坐标为(1,1).(14分)
点评:考查向量知识在几何中的运用,实际上就是用坐标表示向量,再进行运算;(Ⅱ)的关键是确定出点M的横坐标为定值.
(Ⅱ)方法一、设
可得x2+x1=-1,由O、M、P三点共线可知,
这样,我们可以求出M的横坐标,由S△PQA=2S△PAM,得到QA=2AM,因为PQ∥OA,所以OP=2OM,从而可求P的坐标;
方法二、设
解答:
整理得轨迹C的方程为y=x2(x≠0且x≠-1).(4分)
(Ⅱ)方法一、
设
由
故
由O、M、P三点共线可知,
∴
由(Ⅰ)知x1≠0,故y=xx1,(8分)
同理,由
∴
即(x2+1)[(x+1)(x2-1)-(y-1)]=0,
由(Ⅰ)知x1≠-1,故(x+1)(x2-1)-(y-1)=0,(10分)
将y=xx1,x2=-1-x1代入上式得(x+1)(-2-x1)-(xx1-1)=0,
整理得-2x(x1+1)=x1+1,
由x≠-1得
由S△PQA=2S△PAM,得到QA=2AM,因为PQ∥OA,所以OP=2OM,
由
方法二、设
由
故
∴直线OP方程为:y=x1x①;(8分)
直线QA的斜率为:
∴直线QA方程为:y-1=(-x1-2)(x+1),即y=-(x1+2)x-x1-1②;(10分)
联立①②,得
由S△PQA=2S△PAM,得到QA=2AM,因为PQ∥OA,所以OP=2OM,
由
点评:考查向量知识在几何中的运用,实际上就是用坐标表示向量,再进行运算;(Ⅱ)的关键是确定出点M的横坐标为定值.
练习册系列答案
相关题目